How can we use the concept:
Parabolas show up in mathematics in several areas. In Algebra, the parabola shows up as the shape of the graph for the function family f(x)=x2. We look at transformations of this graph and explore both the standard and vertex form of quadratic functions to describe those transformations.
Standard Form of a Quadratic:
Vertex Form of a Quadratic:

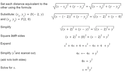
Parabolas are interesting in that they can also be defined in terms of distance. A parabola is the set of all points in a plane that are equidistant (the same distance) from the focus and the directrix.
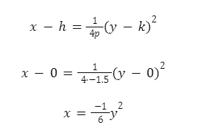
In this definition, the focus is a fixed point and the directrix is a fixed line that is perpendicular to the axis of symmetry of the parabola. The midpoint between the focus and directrix is the vertex. The equations of parabolas use parameter
p, where |p| is the distance from the vertex to both the directrix and the focus.
Another difference is in orientation. When dealing with functions, the parabola could only be open upward or downward. However, parabolas may open either left or right with a horizontal axis of symmetry.











