How to Use Normal Distribution:
- The normal distribution is a unimodal( Bell shaped)
- The normal distribution is symmetric about its mean.
- The mean characterizes the position of the normal distribution.
- The standard deviation characterizes the spread of the normal distribution.
- X ~ N(μ, σ): The variable, X, follows the normal distribution, N, has the mean, μ, with a center deviation, σ.
- z-score = no. of σ-units above (positive z) or below (negative z) distribution mean μ
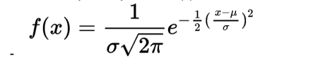
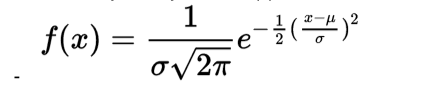
- Probability density function f(x)

Sample Math Problems
Question
The set numbers are normally distributed with μ = 100 and σ = 15; X ~ N(100, 10)
Solution

68% of scores within μ ± σ
= 100 ± 15
= 85 to 115
95% of scores within μ ± 2σ
= 100 ± (2)(15)
= 70 to 130
99.7% of scores in μ ± 3σ =
100 ± (3)(15)
= 55 to 145
Question
The average female height in the United States is 63 inches, having the standard deviation of 2.4.
Solution
We’ll represent this as
68% is within μ ± σ: 63 ± 2.4= 60.6 to 65.4
32% is in the tails (below 60.5 and above 65.4)
16% is below 60.6 and 16% is above 65.4

Question
The average household income for people who can afford to buy a single family home in California is $120k.The standard deviation is $17k. 30% of families weren’t able to afford a single family home. What is the minimum income required to buy a single family home in California?
Solution

Question
The goods carrier tuck travels an average speed of 50 miles/hr and a standard deviation of 15 mile/hr. Truck company wants to know the probability of trucks that will have speed between 50 and 70 miles/hours.
Solution
Let x be the random variable that represents the speed. It has a mean of 50 miles/hr and a standard deviation of 15 miles/hr. We have to find the probability that x is between 50 and 70 or P( 50< x < 70)
For x = 50 , z = (50 - 50) / 15 = 0
For x = 70 , z = (70 - 50) / 15 = 1.33 P( 50< x < 70) = P( 0< z < 1.33) = [area to the left of z = 1.33] - [area to the left of z = 0]=
0.9082 - 0.5 = 0.4082
The probability of a truck that has a speed between 50 and 70 miles/hours is equal to 0.4082.


